0w1

Fast Fourier Transform

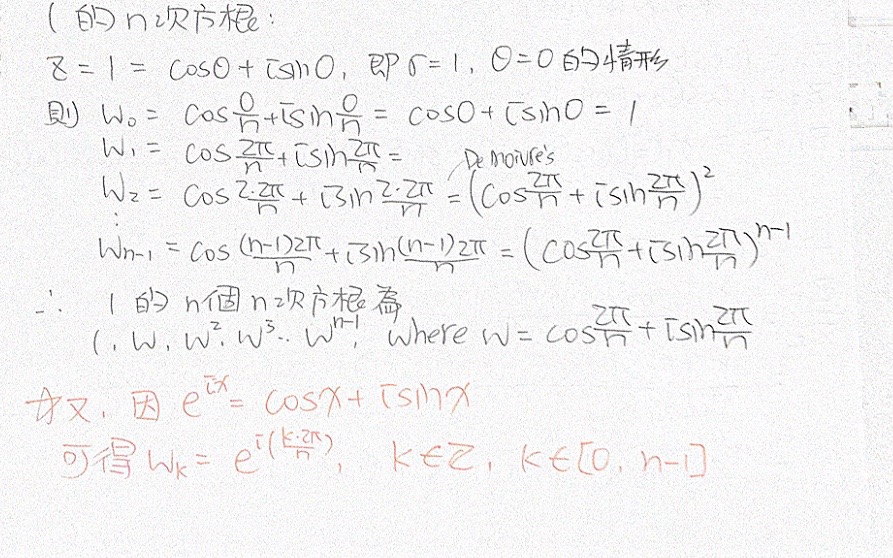
Fast fourier transform can be applied on multiplication of polynomial functions, giving O( N lgN ) time complexity. One of the most common usage is for fast multiplication on big numbers. It exploits the property of the complex roots of unity to make a divide and conquer strategy possible. In the end of this blog I will put some papers with mathematical proof of FFT and some brief summary I have made.
Here's a problem you can try using FFT
C: 高速フーリエ変換 - AtCoder Typical Contest 001 | AtCoder
See this slide for rigorous mathematical proof and further understanding.

www.slideshare.net
This post is very easy to understand
Tutorial on FFT — The tough made simple. ( Part 1 ) - Codeforces

#include <bits/stdc++.h>
using namespace std;
double PI = acos( -1.0 );
typedef complex<double> Z;
const Z I( 0, 1 ); // i = 0 + 1 * i

vector<Z> fft(int n, const vector<Z> &a, bool inv){
    if( n == 1 ) return a;
    Z theta = 2 * PI * I / Z( n, 0 );
    if( inv ) theta = -theta;
    Z omega = Z( 1, 0 ), deltaOmega = exp( theta );
    vector<Z> aeven( n / 2 ), aodd( n / 2 );
    for(int i = 0; i < n / 2; ++i){
        aeven[i] = a[i * 2];
        aodd[i] = a[i * 2 + 1];
    }
    aeven = fft( n / 2, aeven, inv );
    aodd = fft( n / 2, aodd, inv );
    vector<Z> y( n );
    for(int k = 0; k < n / 2; ++k){
        y[k] = aeven[k] + omega * aodd[k];
        y[k + n / 2] = aeven[k] - omega * aodd[k];
        omega *= deltaOmega;
    }
    return y;
}

int main(){
    ios::sync_with_stdio(false);
    
    int n; cin >> n; ++n;
    vector<int> g(n), h(n);
    for(int i = 1; i < n; ++i)
        cin >> g[i] >> h[i];

    int nn = 1; while( nn < 2 * n ) nn <<= 1;
    vector<Z> yg(nn), yh(nn);
    for(int i = 0; i < nn; ++i){
        if( i < n ) yg[i] = g[i], yh[i] = h[i];
        else yg[i] = yh[i] = 0;
    }
    
    yg = fft( nn, yg, false );
    yh = fft( nn, yh, false );

    vector<Z> yf(nn);
    for(int i = 0; i < nn; ++i)
        yf[i] = yg[i] * yh[i];

    yf = fft( nn, yf, true );
    --n;
    for(int i = 1; i <= 2 * n; ++i)
        cout << int( yf[i].real() / nn + 0.5 ) << endl;

    return 0;
}

And here is a problem for fast multiplication on SPOJ SPOJ.com - Problem VFMUL
Don't know why but will get RE when submitting with C++14, but will AC nicely with C++5.1. Anyways, I will take a look at it later.
Note that long double is required ( as much as I know ), for such high digits.

#include <bits/stdc++.h>
using namespace std;
typedef long double daburu; // key difference 31 and the advanced - 235
const daburu PI = acos( -1.0 );
typedef complex<daburu> Z;
const Z I( 0, 1 );
typedef long long ll;
const int MAXN = ( 3e5 + 2 ) * 8;
const int B = 4; // can do for at most 5, but I don't get why 5 works
const ll BASE = 1e4;

vector<Z> fft(int n, const vector<Z> &a, bool inv){
    if( n == 1 ) return a;
    daburu theta = 2 * PI / n;
    if( inv ) theta = -theta;
    Z omega = Z( 1, 0 ), deltaOmega = exp( I * theta );
    vector<Z> aeven( n / 2 ), aodd( n / 2 );
    for(int i = 0; i < n / 2; ++i){
        aeven[i] = a[i * 2];
        aodd[i] = a[i * 2 + 1];
    }
    aeven = fft( n / 2, aeven, inv );
    aodd = fft( n / 2, aodd, inv );

    vector<Z> y( n );
    for(int i = 0; i < n / 2; ++i){
        y[i] = aeven[i] + omega * aodd[i];
        y[i + n / 2] = aeven[i] - omega * aodd[i];
        omega *= deltaOmega;
    }
    return y;
}

char l1[MAXN], l2[MAXN];
int g[MAXN], h[MAXN];
vector<Z> yg(MAXN), yh(MAXN), yf(MAXN);
ll ans[MAXN];
int main(){
    int T; scanf("%d", &T);
    while( T-- ){
        scanf("%s %s", l1, l2);
        
        int sn = strlen( l1 ), sm = strlen( l2 );
        int n = 0, m = 0;
        for(int i = sn - 1; i >= 0; i -= B){
            int x = 0, k = 1;
            for(int j = i; j > i - B; --j){
                if( j < 0 ) break;
                x += ( l1[j] - '0' ) * k;
                k *= 10;
            }
            g[n++] = x;
        }
        for(int i = sm - 1; i >= 0; i -= B){
            int x = 0, k = 1;
            for(int j = i; j > i - B; --j){
                if( j < 0 ) break;
                x += ( l2[j] - '0' ) * k;
                k *= 10;
            }
            h[m++] = x;
        }
        
        int nn = 1; while( nn < max( n, m ) * 2 ) nn <<= 1;
        for(int i = 0; i < nn; ++i){
            if( i < n ) yg[i] = g[i];
            else yg[i] = 0;
            if( i < m ) yh[i] = h[i];
            else yh[i] = 0;
        }
        yg = fft( nn, yg, false );
        yh = fft( nn, yh, false );

        for(int i = 0; i < nn; ++i)
            yf[i] = yg[i] * yh[i];
        
        yf = fft( nn, yf, true );
        for(int i = 0; i < nn; ++i)
            ans[i] = (ll)( yf[i].real() / nn + 0.5 );
        for(int i = 0; i < nn; ++i){
            ll x = ans[i];
            ans[i] = 0;
            for(int j = 0; x; x /= BASE, ++j)
                ans[i + j] += x % BASE;
        }

        bool firstPrint = true;
        int ni = nn - 1; while( ni > 0 && ans[ni] == 0 ) --ni;
        for(int i = ni; i >= 0; --i){
            if( firstPrint ){
                firstPrint = false;
                printf("%d", (int)ans[i]);
            }
            else printf("%04d", (int)ans[i]);
        }
        
        puts("");
    }
    return 0;
}

Kind of a general template here, verified by http://zerojudge.tw/ShowProblem ZOJ a577

#include <bits/stdc++.h>
using namespace std;
typedef long double daburu;
const daburu PI = acos( -1.0 );
typedef complex<daburu> Z;
const Z I( 0, 1 );
typedef long long ll;
const int MAXN = ( (1 << 17) + 1 ) * 8;
const int B = 4;
const ll BASE = 1e4;

void fft(int n, vector<Z> &a, bool inv){
    if( n == 1 ) return;
    daburu theta = 2 * PI / n;
    if( inv ) theta = -theta;
    Z omega = Z( 1, 0 ), deltaOmega = exp( I * theta );
    vector<Z> aeven( n / 2 ), aodd( n / 2 );
    for(int i = 0; i < n / 2; ++i){
        aeven[i] = a[i * 2];
        aodd[i] = a[i * 2 + 1];
    }
    fft( n / 2, aeven, inv );
    fft( n / 2, aodd, inv );
    for(int i = 0; i < n / 2; ++i){
        a[i] = aeven[i] + omega * aodd[i];
        a[i + n / 2] = aeven[i] - omega * aodd[i];
        omega *= deltaOmega;
    }
}

void print(int n, const vector<Z> &a){
    vector<ll> ans(MAXN);
    for(int i = 0; i < n; ++i)
        ans[i] = (ll)( a[i].real() + 0.5 );
    for(int i = 0; i < n; ++i){
        ll d = ans[i]; ans[i] = 0;
        for(int j = 0; d; ++j, d /= BASE)
            ans[i + j] += d % BASE;
    }
    bool firstPrint = true;
    int ni = a.size() - 1; while( ni > 0 && ans[ni] == 0 ) --ni;
    for(int i = ni; i >= 0; --i){
        if( firstPrint ){
            firstPrint = false;
            printf("%d", int(ans[i]));
        }
        else printf("%04d", int(ans[i]));
    }
}

char l1[MAXN], l2[MAXN];
int g[MAXN], h[MAXN];
vector<Z> yg(MAXN), yh(MAXN), yf(MAXN);
int main(){
    while( scanf("%s %s", l1, l2) == 2 ){
        int sn = strlen( l1 ), sm = strlen( l2 );
        int n = 0, m = 0;
        for(int i = sn - 1; i >= 0; i -= B){
            int x = 0, k = 1;
            for(int j = i; j > i - B; --j){
                if( j < 0 ) break;
                x += ( l1[j] - '0' ) * k;
                k *= 10;
            }
            g[n++] = x;
        }
        for(int i = sm - 1; i >= 0; i -= B){
            int x = 0, k = 1;
            for(int j = i; j > i - B; --j){
                if( j < 0 ) break;
                x += ( l2[j] - '0' ) * k;
                k *= 10;
            }
            h[m++] = x;
        }

        int nn = 1; while( nn < max( n, m ) * 2 ) nn <<= 1;

        for(int i = 0; i < nn; ++i){
            if( i < n ) yg[i] = g[i];
            else yg[i] = 0;
            if( i < m ) yh[i] = h[i];
            else yh[i] = 0;
        }
        fft( nn, yg, false );
        fft( nn, yh, false );

        for(int i = 0; i < nn; ++i)
            yf[i] = yg[i] * yh[i];
        fft( nn, yf, true );
        for(int i = 0; i < nn; ++i)
            yf[i] /= nn;

        print( nn, yf );
        puts("");
    }
    return 0;
}

f:id:h0rnet:20160208010835j:plainf:id:h0rnet:20160208010915j:plainf:id:h0rnet:20160208010857j:plainf:id:h0rnet:20160208010849j:plainf:id:h0rnet:20160208010846j:plainf:id:h0rnet:20160208010855j:plainf:id:h0rnet:20160208011414j:plain